yl6809永利官网
欢迎访问yl6809永利官网!
贵州大学
管理入口
yl6809永利官网
学院概况
党建思政
师资队伍
学科平台
本科生教育
研究生教育
科学研究
实验中心
校友专栏
三全育人
下载专区
yl6809永利官网
研究生教育
研究生招生
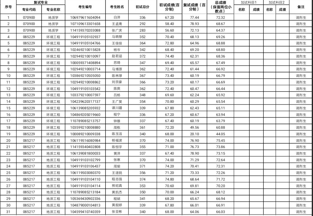
我院2019年硕士研究生第二轮招生复试成绩公示
发布时间:2019-04-11
浏览次数:
3818